У Львові внесли зміни до переліку зупинок громадського транспорту

понеділок, 28 листопада 2016 р. о 17:41
У Львові внесли зміни до переліку зупинок громадського транспорту
маршрутка

Через запуск трамвая на Сихів і тролейбуса до аеропорту "Львів" у міськраді частково змінили перелік зупинок громадського транспорту.

Відповідне рішення ухвалили сьогодні на засіданні виконавчого комітету Львівської міської ради.

"Запропоновані зміни дозволяють актуалізувати перелік зупинок міста у зв'язку зі зведенням трамвайної лінії на Сихів, тролейбусної лінії до Терміналу-А аеропорту «Львів» та врахувати рішення, які прийняла комісія з безпеки дорожнього руху", – пояснив керівник управління транспорту і зв'язку міськради Віктор Щир.

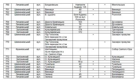
Відтак подаємо повний перелік напрямків, за якими закріпили зміни:

Варіанти - онлайн газета новин Львова. Інший погляд на львівські новини та новини львівщини. Завжди свіжі новини про Львів, про львів'ян і не тільки. Тут новини у Львові оновлюються постійно.

Варіанти © 2012-2026