У Львові закриють 70 кіосків мережі Інтерпрес

пʼятниця, 13 червня 2025 р. о 12:32
У Львові закриють 70 кіосків мережі Інтерпрес
МАФ "Інтерпрес" 

Депутати вилучили МАФи мережі "Інтерпрес" з Комплексної схеми розміщення тимчасових споруд.

Вчора, 12 червня, на сесії Львівської міської ради депутати внесли зміни до ухвали "Про здійснення підприємницької діяльності у тимчасових спорудах на території м. Львова".

"За" проголосували 38 депутатів.

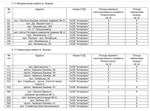
Згідно з документом, депутати вилучили з Комплексної схеми розміщення тимчасових споруд 70 МАФів, що належали мережі "Інтерпрес".

Як заявив заступник міського голови Львова з містобудування Любомир Зубач, компанія ще восени минулого року через збитковість відмовилась продавати транспортні картки "ЛеоКарт". Відтоді кіоски не працюють й не сплачують орендну плату.

МАФи знаходиться у таких районах Львова: у Галицькому районі – 11, у Залізничному районі – 15, у Личаківському районі – 9, у Сихівському районі – 12, у Франківському районі – 11, у Шевченківському районі – 12.

Нагадаємо, з вересня 2024 року компанія "Інтерпрес" припинила продаж та поповнення транспортних карток "ЛеоКарт", які раніше можна було придбати у 50 кіосках компанії. Це рішення вони прийняли через збитковість послуги для підприємства.

Через це у ЛКП "Львівавтодор" оголосили конкурс з визначення операторів з продажу і поповнення транспортних карток "ЛеоКарт".

Додамо, 11 грудня 2023 року у Львові почала діяти безготівкова оплата у всьому громадському транспорті. Станом на сьогодні вартість проїзду становить 25 грн під час розрахунку готівкою у водія, під час оплати банківською карткою проїзд вартує 20 грн, а з картою "ЛеоКарт" – 17 грн за одну поїздку.

Варіанти - онлайн газета новин Львова. Інший погляд на львівські новини та новини львівщини. Завжди свіжі новини про Львів, про львів'ян і не тільки. Тут новини у Львові оновлюються постійно.

Варіанти © 2012-2026