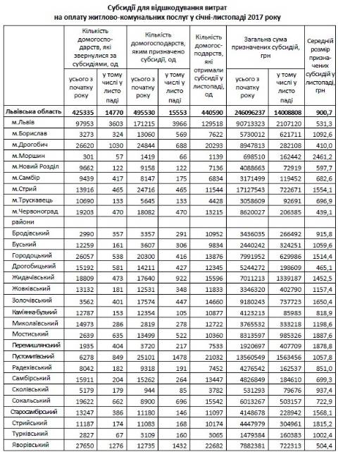
У листопаді субсидія на Львівщині становила 900 гривень

вівторок, 26 грудня 2017 р. о 16:28
У листопаді субсидія на Львівщині становила 900 гривень
narodna-pravda.ua
субсидії

Станом на 1 грудня субсидії на оплату житлово-комунальних послуг отримали 495,5 тисяч домогосподарств.

Про це повідомляє Головне управління статистики у Львівській області.

Це на 15,2% більше, порівняно з січнем-листопадом 2016 року.

Кількість учасників програми житлових субсидій, які одержали субсидії для відшкодування витрат на оплату житлово-комунальних послуг, становила 53,6% від загальної кількості домогосподарств області.

За кількістю членів домогосподарств, які отримують субсидії, переважають родини із однієї особи, у серпні 2017 року їх частка склала 26,6%, а загальна сума субсидій у січні-листопаді 2017 року становила 246,1 млн грн, з них у містах – 174,3 млн грн, у селах – 71,8 млн грн.

Середній розмір субсидії на одне домогосподарство у листопаді, порівняно із листопадом минулого року, зменшився на 29,2% і становив 900,7 грн.

Варіанти - онлайн газета новин Львова. Інший погляд на львівські новини та новини львівщини. Завжди свіжі новини про Львів, про львів'ян і не тільки. Тут новини у Львові оновлюються постійно.

Варіанти © 2012-2026