Комунальне підприємство Львова модернізовуватиме теплопостачання у будинкaх двох районів

четвер, 15 лютого 2018 р. о 17:40
Комунальне підприємство Львова модернізовуватиме теплопостачання у будинкaх двох районів
Індивідуальний тепловий пункт

ЛМКП "Львівтеплоенерго" отримало дозвіл на розміщення обладнання індивідуальних теплових пунктів у підвалах житлових будинків, що є на балансі Львівських комунальних підприємств у двох районах міста.

За відповідне рішення сьогодні проголосували 48 депутатів Львівської міької ради, – повідомляє кореспондент Варіантів.

Так, Львівському міському комунальному підприємству
"Львівтеплоенерго" надано дозвіл на розміщення обладнання індивідуальних теплових пунктів у підвальних приміщеннях житлових будинків, що є на балансі львівських комунальних підприємств Сихівського та Шевченківського районів
ЛМКП "Львівтеплоенерго" за власні кошти здійснить облаштування підвальних приміщень у житлових будинках, де передбачено встановлення індивідуальних теплових пунктів.

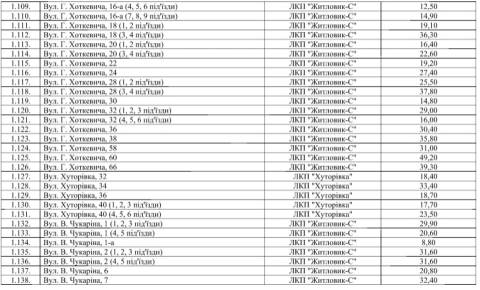
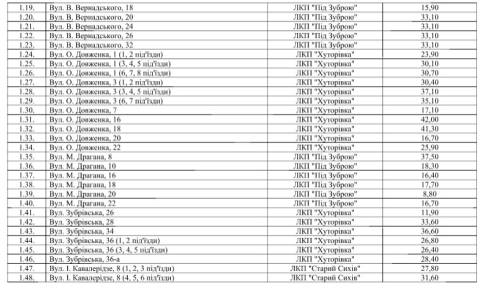
Передбачено 409 індивідуальних теплових пунктів (ІТП) у Сихівському житловому масиві за кошти Європейського банку реконструкції та розвитку.
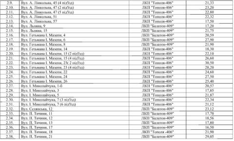
За кошти Державного бюджету планується встановити 84 ІТП у Шевченківському районі.

Нагадаємо, про плани встановити ІТП Львівської міською радою стало відомо у грудні минулого року.

Варіанти - онлайн газета новин Львова. Інший погляд на львівські новини та новини львівщини. Завжди свіжі новини про Львів, про львів'ян і не тільки. Тут новини у Львові оновлюються постійно.

Варіанти © 2012-2024