За добу кількість випадків захворювання на коронавірус в Україні зросла на 5165 – до 2170398

четвер, 20 травня 2021 р. о 10:06
За добу кількість випадків захворювання на коронавірус в Україні зросла на 5165 – до 2170398
коронавірус

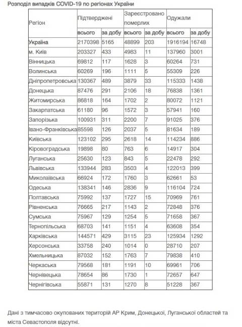
Станом на сьогодні в Україні зафіксували 2170398 випадків зараження коронавірусом та 48899 смертей.

Про це повідомляє Міністерство охорони здоров'я України.

Станом на 09.00 год 20 травня в Україні зареєстрували 2170398 випадків зараження коронавірусом, з них 48899 людей померли, а 1916194 людини – одужали. За добу захворіли на коронавірус 5165 осіб.

Щодо Львівщини, то тут офіційно підтвердили 133944 випадки зараження цим вірусом.

Усього в Україні провели 9 943 891 тестування на коронавірусну інфекцію методом ПЛР.

Нагадаємо, карантин в Україні, який вперше запровадили з 12 березня 2020 року, продовжили до 30 червня 2021 року. А з 24 лютого запровадили адаптивний карантин: країну знову поділили на "червону", "помаранчеву", "жовту" та "зелену" зони, в залежності від епідемічної ситуації.

З 26 квітня Державна комісія ТЕБ і НС перевела Львівську область із "червоної" у "жовту" карантинну зону, з того ж дня у місті скасували карантинні обмеження на роботу магазинів, закладів громадського харчування та культури, а також відновили навчання у школах.

Додамо, 23 лютого в Україну прибула перша партія вакцин від коронавірусу AstraZeneca загальною кількістю 500 тисяч доз, що вистачить для вакцинації 250 000 українців. Для Львівщини виділили 42 200 доз вакцин, які надійшли 25 лютого. Того ж дня у області стартував процес вакцинації.

Також з 15 квітня на Львівщині розпочали щеплення вакциною CoronaVac, а з 18 квітня до області прибуло 1170 доз вакцини Pfizer-BioNTech.

1916194

Варіанти - онлайн газета новин Львова. Інший погляд на львівські новини та новини львівщини. Завжди свіжі новини про Львів, про львів'ян і не тільки. Тут новини у Львові оновлюються постійно.

Варіанти © 2012-2026